《另一个幸存者》中文版是一款趣味性十足的轻度肉鸽游戏。在这款游戏里,所有大家熟悉的《吸血鬼幸存者》元素都会逐一展现。玩家能够开启别具一格的竞技挑战,随时随地投身战斗冒险。它的玩法极为简单,全程无需任何摇杆操作,英雄会自动发起攻击。当英雄击败敌人后,就能获取经验,经验累积到一定数量,英雄便会升级,且会随机得到3张1 - 9级的卡片,每张卡片都具备不同的属性加成。玩家可以挑选更为强力的技能,只要在15分钟内成功存活,就算通关。
在另一个幸存者游戏里,为玩家准备了攻击、攻速、暴击、增伤、弹射、群攻等共计8种卡牌类型。其中,经验和祈福可归为成长类卡牌,其余的都属于战力类卡牌。经验与祈福主要是为玩家提升后期能力,而战力卡牌则构成了秒伤。因此,当玩家的秒伤远远超出推荐数值时,建议选择经验和祈福类卡牌;反之,则选择秒伤牌,如此才能提高自身的存活几率。

- 不太一样的吸血鬼幸存者like游戏
- 无摇杆,15分钟生存,玩法简单
- 收集星星,无限成长
1、进入游戏,选择游戏名和角色性别,先创建一个角色;

2、然后进入游戏首页,如果是新手的话,点击进入新手引导;

3、游戏开始后,英雄会自动攻击,击败敌人后,英雄会获得经验;

4、每次击败后英雄就会升级,并会随机获得3张1-9级的卡片,同时也会获得一些集星进度,选择一张卡片继续游戏;

5、若你选择群攻卡片,当群攻数值大于等于100%时,全功单位数量介于群攻数值除以100后的向下取整值到向上取整值之间。群攻上限设定为1000%,当群攻数值大于等于1000%时,超出部分的群攻会自动转化为额外伤害。此外,不同的卡片具备不同的属性加成。

6、之后,玩家根据自己的需求,选择不同的卡片,直至游戏结束;

7、返回主页后,点击开始游戏;

8、之后玩家就选择自己想要的卡牌,开启收割吧。


属性包含6维,加点也是平均分配。前期星星不够用,加点有优先级。
个人建议:前期加点顺序是分身1级、进阶1级、属性点、祝福1级、收获1级、剑雨1级,之后再分身、进阶、属性点不断循环。属性点加多少看你自己喜欢,剑雨看你感觉去加。
主要是我只有五百多星星,后期啥样我也猜不到,感觉技能加到5级就够了,后期是加属性为主,属性是六次方,提升幅度太大了。
原因:
1、属性点问题。属性点是战斗中卡片和羁绊增加的百分比,对战斗提升很大。
这是没加属性的情况下1级暴击是12%


属性加到9级后,此时的暴击1级从12%增加到17.4%,增幅45%。

2、技能问题。
分身和进阶提升的输出是实打实的,对所有伤害均有加成。
剑雨极易出现伤害溢出的情况,即便触发了效果,实际表现也较为一般。重点在于剑雨存在输出上限,群攻弹射似乎最多9次,每秒攻速具体数值记不清了,总之各项都有上限。一旦超出上限,后续加成仅增加伤害,可剑雨却无法从这超出上限所增加的伤害中获益。不过在前期使用的话,倒也还勉强能用。
祝福这东西,只对卡牌有加成,对羁绊没有加成,点1级拼脸就行,不值得多点。
收获更坑,概率低,加的属性不稳定,点1级拼脸就行。
嗜血加的伤害也是实打实的,但前期实在没啥用,而且加的系数太低了,后面才慢慢追上来。前期不建议加。
最后补充说明,我看到分身可以触发进阶,至于分身能否触发剑雨,我没看仔细,但推测应该可以。而进阶能不能触发剑雨,我实在难以分辨。要是进阶不能触发剑雨,那剑雨的表现就更不尽人意了,它无法作为系数与其他技能及属性点相乘,这样损失的伤害可不容小觑。
游戏阶段及玩法
1、学前
如果你还没有通关第一次,这是一个肉鸽选卡游戏,那么主要要讲的是怎么选卡。
1.1秒伤
在战斗界面,如图

这是这个游戏的核心,当你的秒伤大于推荐的时候,基本上意味着你能继续存活,反之大概率很快要死。注意这里秒伤在前推荐在后,5788是秒伤,5281是推荐。于是游戏就变成了如何选牌来让你的秒伤最大化。
1.2选牌原则
总共8种卡牌类型,经验和祈福可以算作成长类卡牌,其他的都是战力类卡牌。经验祈福提供的是后期能力,而战力卡牌构成了秒伤。
大致原则是,当你的秒伤远高于推荐的时候,选择经验和祈福,否则选秒伤牌。选牌时一般选择等级高的卡或者+2的卡,如果都差不多选择牌少的那个。如果秒伤比较吃紧可以去凑羁绊提战力。
这里要提到的是,攻击、攻速、暴击、增伤、弹射、群攻里面没有哪个比哪个好的说法,均衡的加点能最大化秒伤。经验和祈福相比,经验偏重前中期,祈福妥妥大后期,并且祈福是指数级增长的后期牌。
2、入门
基本上注意以上的点就能够通过第一关了。来到难度5以上,这个游戏就变成了一个养成游戏,你会发现随着难度的提升,基本上打不过。就需要利用星星进行加点,提供场外的天赋能力。
星星比较少,例如50一下的时候,可以选择点技能,收获、分身是比较好的,可以各加一级。
星星多起来的时候,不能都加在技能上,要匀一半给属性点,属性点加点要均衡,各一级。
关于技能的点法我不太清楚,各种的都有。看到论坛里常见的就是分身和进阶各6级,其余的收获和祝福点1级。群里榜一大佬难二都不会好像说平均加,收获和祝福可以多加一点。


这是我目前的点法,大家随意参考一下,关键点是要点属性,均衡点。
3、进阶
玩到这个阶段,这游戏简直太肝了。你只能不停地去打,可压根打不过,只能勉强混点星星,只有星星数量够多,才能推进后续关卡。而且,它在选卡策略方面实在太单一,玩久了就觉得没什么意思。它和放置游戏不同,需要你持续战斗,关键战斗还特别让人操心。游戏里虽然有自动模式和AI选卡模式,但这俩模式都很鸡肋,根本没法靠它们走得更远,最后还得自己手动选卡。
3.1选卡逻辑量化
我想了想选卡逻辑其实不太难的,我在游戏里也找不到可以设置选卡逻辑的地方,于是干脆自己造一个

大致想法就是 1学前 里所说的选卡逻辑,并量化出来了,计算卡牌价值的伪代码如下
step1 卡牌价值 = 卡牌等级 + 基础价值bias
step2 如果是两张卡,卡牌价值 = 卡牌价值 x 2
step3 如果是祝福卡,卡牌价值 = 卡牌价值 x 1.2
step4 如果是两张卡, 卡牌价值 = 卡牌价值 + 1
step5 如果选卡之后羁绊会升级,卡牌价值 = 卡牌价值 + 5
step6 如果卡牌类型是祈福, 卡牌价值 = 卡牌价值 + 祈福补偿
step7 如果卡牌类型是经验, 卡牌价值 = 卡牌价值 + 经验补偿
在这之中,祈福与经验补偿按如下方式设计:当秒伤推荐比≥2时,祈福补偿设定为1000,如此一来,其他秒伤牌便不会被选中;同样地,当秒伤推荐比小于某个数值,例如1时,将祈福补偿设为 -1000,这样祈福牌就不会被选中了。
其中,基础价值bias是为了平衡双卡算法的,step4 +1的想法是因为双卡有一个增加羁绊的好处。
计算完每一张卡的价值后,选择价值最大的那张卡。
3.2测试猫
有了核心的选卡逻辑,后面就是用程序来自动化,我用到的工具是 测试猫,需要电脑连接安卓手机,JavaScript语言。
上手超级简单,我一个没接触过java的人10分钟就学会了。大家稍微看一下,很快就学会了。这个环节也是我乐趣最大的一个阶段,我写了我人生当中第一个游戏脚本。
4、高阶
经过阶段3,那么这个游戏已经是一个放置游戏了。那么乐趣就回归到如何更合理的选卡,这就成为一个数学建模游戏。以下是一些我的头脑风暴,还没有入手。主要是懒得动脑想公式,想用强化学习来做。
4.1数学模型构建
4.1.1目标函数
这个游戏的核心其实,怎么选卡使得秒伤最大,这个秒伤还不是当期的秒伤最大,还包括了未来至游戏结束内的秒伤最大,并且该秒伤要大于推荐秒伤。
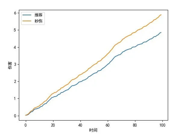
可以在坐标轴内对秒伤和推荐秒伤画两条曲线,纵坐标是伤害,横坐标是时间

如图橙色是秒伤曲线,蓝色是推荐曲线。这样游戏的目标可以定义为这两条曲线间的面积最大化
max loss = 求和 Dy(t, pi) - Ds(t)
其中Dy(t, pi)为t时刻,采取选卡策略pi下的秒伤, Ds(t)为t时刻的推荐秒伤
有约束条件s.t. Dy(t, pi) >= Ds(t),即保证在过程中保证秒伤不低于推荐
4.1.2网络及输入输出
Dy(t, pi)的函数形式考虑用全连接网络就够了
输入选卡时三张卡的信息,已有的这堆数据,如下图

可能还需要技能加点数据和时间数据。
在处理技能加点时,归一化存在一定难度。不妨参考transformer中embedding的方式,把每一种技能的一个等级当作一个类别,进而构建一个查询表。不过,也可以暂时不考虑加点的差异,将其当作统一的加点情况来构建模型。
加入时间数据是考虑到推荐秒伤可能在某些时间点暴涨
5、结语
人玩游戏,不是游戏玩人。希望大家保持学习,保持进步,生命珍贵,不要沉溺于肤浅的欲望之中。
一、第一步开局
找经验或祈福尽量追到4/4(现在开始马上停手)
要是没有这俩怎么办呢?尽量找等级高的卡,最好每个羁绊凑个2/2,这样稳定过前期。
第二步中期选择
这时候基本稳住局面了(没稳住的出门右转,下一把??)。一般现在分情况讨论卡片选择。
第一种情况:大优势,指秒伤是推荐伤害1倍以上(这种一般都是前面脸比较好的),这时候我们尽量选祈福,副选经验,不然后期几分钟可能打不过。
第二种情况:均势或者小劣势,指秒伤略高于或低于推荐伤害。这种情况千万不要选祈福和经验,不然逃不掉暴毙的命运,尽量凑羁绊,把伤害羁绊追9/9。(大多数情况都能稳住)
第三步收尾阶段
对于前期没有星星的新玩家而言,这个阶段还是颇具难度的(大佬请自动略过哈)。推荐的伤害提升速度很快,预计通关大概需要40w左右的秒伤。能否顺利度过这个时期,就得看你中期运营的经验,以及祈福点数有没有点到位了。祈福最少要达到9/9,经验要4/4 ,这样才具备通关的可能。(要是一次实在过不去,就多尝试几次)
二、关于星星的选择上
有十五颗星就先点收获(这个特别重要)
剩余零散的星就把每个属性点一些
30星了就点分身上,这个公测感觉祝福是真被砍废了(尽量通关没压力了再点)。
升星小技巧,打到第五关一直刷这一关,目前第一星星那个就是这么操作的。
星星:天赋点&等级,用于提升属性与技能;
金币:抽怪用,怪够的时候尽量不用;
体力:不是一直输基本上用不完;
离线经验:提升星星等级需要的经验;